Definición y cálculos de resistencias eléctricas.
La resistencia es una cantidad eléctrica que mide cómo el dispositivo o material reduce el flujo de corriente eléctrica a través de él.
La resistencia se mide en unidades de ohmios (Ω).
Si hacemos una analogía con el flujo de agua en las tuberías, la resistencia es mayor cuando la tubería es más delgada, por lo que el flujo de agua disminuye.
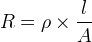
La resistencia de un conductor es la resistividad del material del conductor multiplicada por la longitud del conductor dividida por el área de la sección transversal del conductor.
![]()
R es la resistencia en ohmios (Ω).
ρ es la resistividad en ohmios-metro (Ω × m)
l es la longitud del conductor en metros (m)
A es el área de la sección transversal del conductor en metros cuadrados (m 2 )
Es fácil entender esta fórmula con la analogía de las tuberías de agua:
![]()
R es la resistencia de la resistencia en ohmios (Ω).
V es la caída de voltaje en la resistencia en voltios (V).
I es la corriente de la resistencia en amperios (A).
La resistencia de una resistencia aumenta cuando aumenta la temperatura de la resistencia.
R 2 = R 1 × (1 + α ( T 2 - T 1 ))
R 2 es la resistencia a la temperatura T 2 en ohmios (Ω).
R 1 es la resistencia a la temperatura T 1 en ohmios (Ω).
α es el coeficiente de temperatura.

La resistencia equivalente total de resistencias en serie es la suma de los valores de resistencia:
R Total = R 1 + R 2 + R 3 + ...

La resistencia equivalente total de resistencias en paralelo viene dada por:
![]()
La resistencia eléctrica se mide con un ohmímetro.
Para medir la resistencia de una resistencia o un circuito, el circuito debe tener la fuente de alimentación apagada.
El ohmímetro debe conectarse a los dos extremos del circuito para que se pueda leer la resistencia.
La superconductividad es la caída de la resistencia a cero a temperaturas muy bajas cercanas a 0ºK.
Advertising