输入红色,绿色和蓝色颜色等级(0..255),然后按“转换”按钮:
的[R ,G ^,乙值除以255来的范围内改变从0..255到0..1:
R '= R / 255
G '= G / 255
B '= B / 255
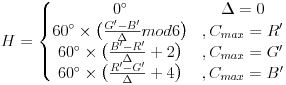
Cmax = max(R ',G ',B ')
Cmin = min(R ',G ',B ')
Δ= Cmax - Cmin
色相计算:

饱和度计算:

亮度计算:
L =(Cmax + Cmin)/ 2
| 颜色 | 颜色 名称 |
十六进制 | (R,G,B) | (高,中,低) |
|---|---|---|---|---|
| 黑色 | #000000 | (0,0,0) | (0°,0%,0%) | |
| 白色 | #FFFFFF | (255,255,255) | (0°,0%,100%) | |
| 红色 | #FF0000 | (255,0,0) | (0°,100%,50%) | |
| 酸橙 | #00FF00 | (0,255,0) | (120°,100%,50%) | |
| 蓝色 | #0000FF | (0,0,255) | (240°,100%,50%) | |
| 黄色 | #FFFF00 | (255,255,0) | (60°,100%,50%) | |
| 青色 | #00FFFF | (0,255,255) | (180°,100%,50%) | |
| 品红 | #FF00FF | (255,0,255) | (300°,100%,50%) | |
| 银 | #BFBFBF | (191,191,191) | (0°,0%,75%) | |
| 灰色 | #808080 | (128,128,128) | (0°,0%,50%) | |
| 栗色 | #800000 | (128,0,0) | (0°,100%,25%) | |
| 橄榄 | #808000 | (128,128,0) | (60°,100%,25%) | |
| 绿色 | #008000 | (0,128,0) | (120°,100%,25%) | |
| 紫色 | #800080 | (128,0,128) | (300°,100%,25%) | |
| 蓝绿色 | #008080 | (0,128,128) | (180°,100%,25%) | |
| 海军 | #000080 | (0,0,128) | (240°,100%,25%) |