کیپسیٹر اور کپیسیٹر حساب کیا ہے؟
کپیسیٹر ایک الیکٹرانک جزو ہے جو بجلی کے چارج کو محفوظ کرتا ہے ۔ کاپاکیٹر 2 قریبی کنڈکٹر (عام طور پر پلیٹوں) سے بنا ہوتا ہے جو ایک ڈائی ایالٹرک مادے سے الگ ہوتے ہیں۔ جب طاقت کے منبع سے منسلک ہوتا ہے تو پلیٹوں میں بجلی کا چارج جمع ہوتا ہے۔ ایک پلیٹ میں مثبت چارج جمع ہوتا ہے اور دوسری پلیٹ منفی چارج جمع کرتی ہے۔
کیپسیٹینس بجلی کے معاوضے کی مقدار ہے جو 1 وولٹ کے وولٹیج پر کیپسیٹر میں محفوظ ہے۔
کیپسیٹنس کو فراد (ایف) کی اکائیوں میں ماپا جاتا ہے ۔
کیپاسیٹر موجودہ موجودہ (AC) سرکٹس میں اور موجودہ باری (AC) سرکٹس میں شارٹ سرکٹ میں موجودہ سے رابطہ منقطع کرتا ہے۔
![]()
کپیسیٹر |
||
پولرائزڈ کیپسیٹر |
||
متغیر کیپاکیسیٹر |
کاپاکیٹر کا کیپسیٹینس (سی) بجلی کے چارج (Q) کے برابر ہے جو وولٹیج (V) کے ذریعہ تقسیم کیا گیا ہے:
![]()
C فاراد (F) میں گنجائش ہے
Q کولمبس (C) میں برقی چارج ہے ، جو کیپسیٹر پر محفوظ ہے
V وولٹ میں کیپسیٹر کی پلیٹوں کے درمیان وولٹیج ہے (V)
پلیٹوں کیپاکیسیٹر کا کیپسیٹینس (سی) پلیٹ ایریا (اے) کے درمیان پلیٹ (ڈی) کے درمیان فرق یا فاصلے کے ذریعہ تقسیم کردہ اجازت (mit) گنا کے برابر ہے:
![]()
سی فراد (ایف) میں ، سندارتر کی گنجائش ہے۔
ε میٹر (F / میٹر) فی farad میں، سندارتر کی جدلیات مواد کی permittivity ہے.
A مربع میٹر (میٹر 2 ] میں کیپسیٹر کی پلیٹ کا رقبہ ہے ۔
d کیپیسٹر کی پلیٹوں کے درمیان فاصلہ ہے ، میٹر (میٹر) میں۔

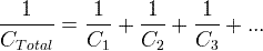
سیریز ، C1 ، C2 ، C3 ، میں کپیسیٹرز کی کل گنجائش۔
![]()

متوازی ، C1 ، C2 ، C3 ، .. میں کپیسیٹرز کی کل گنجائش۔
C ٹوٹل = C 1 + C 2 + C 3 + ...
کاپاکیٹر کا لمحہ بہ لمحہ موجودہ i c (t) سندارتر کی اہلیت کے برابر ہے ،
وقتی کیپسیسیٹر کی وولٹیج وی سی (ٹی) سے ماخوذ :
![]()
کاپاکیٹر کی لمحاتی وولٹیج وی سی (ٹی) سندارتر کی ابتدائی وولٹیج کے برابر ہے ،
پلس 1 / C مرتبہ وقتی طور پر وقتی کیپسیسیٹر کے موجودہ آئی سی (ٹی) کا لازمی جزو :

سندارتر کے محفوظ توانائی ای سی سے Joules میں (J) سندارتر کے برابر ہے C farad میں (F)
اوقات میں مربع سندارتر کی وولٹیج V C وولٹ (V) میں 2 سے تقسیم ہوا:
ای سی = C × وی سی 2 /2
ω = 2 π f
ω - کونیی کی رفتار فی سیکنڈ (ریڈ / ایس) میں ریڈیوں میں ماپا جاتی ہے
f - ہرٹز (ہرٹز) میں ماپا تعدد
![]()
کارٹیسین فارم:
![]()
پولر فارم:
زیڈ سی = ایکس سی ∟-90º
| متغیر کیپاکیسیٹر | متغیر کیپاکیسیٹر میں تبدیلی کی گنجائش ہے |
| الیکٹرولائٹک سندارتر | الیکٹرویلیٹک کیپسیٹرز استعمال کیے جاتے ہیں جب اعلی سندارتری کی ضرورت ہوتی ہے۔ بیشتر الیکٹرویلیٹک کیپسیٹرز پولرائزڈ ہیں |
| کروی کپیسیٹر | کروی کیپاکیٹر کی دائرہ شکل ہوتی ہے |
| پاور کاپاکیٹر | ہائی وولٹیج پاور سسٹم میں پاور کیپسیٹرز استعمال ہوتے ہیں۔ |
| سرامک سندارتر | سیرامک کاپاسیٹر میں سیرامک ڈیلیٹریک مادی ہے۔ ہائی ولٹیج کی فعالیت ہے۔ |
| ٹینٹلم کاپاکیٹر | ٹینٹلم آکسائڈ ڈائی ایالٹرک مادے۔ اعلی اہلیت ہے |
| میکا کاپاکیٹر | اعلی درستگی کیپسیٹرز |
| کاغذ سندارتر | کاغذ ڑانکتا ہوا مواد |
Advertising