Введіть 6-значний шістнадцятковий код або введіть рівні червоного, зеленого та синього кольорів (0..255) і натисніть кнопку Конвертувати :
Значення R , G , B діляться на 255, щоб змінити діапазон від 0..255 до 0..1:
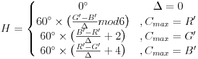
R '= R / 255
G '= G / 255
B '= B / 255
Cmax = max ( R ', G ', B ')
Cmin = хв ( R ', G ', B ')
Δ = Cmax - Cmin
Розрахунок відтінку:

Розрахунок насиченості:

Розрахунок вартості:
V = Cmax
| Колір | Колір ім'я |
Шістнадцяткова | (R, G, B) | (H, S, V) |
|---|---|---|---|---|
| Чорний | # 000000 | (0,0,0) | (0 °, 0%, 0%) | |
| Білий | #FFFFFF | (255 255 555) | (0 °, 0%, 100%) | |
| Червоний | # FF0000 | (255,0,0) | (0 °, 100%, 100%) | |
| Вапно | # 00FF00 | (0,255,0) | (120 °, 100%, 100%) | |
| Синій | # 0000FF | (0,0255) | (240 °, 100%, 100%) | |
| Жовтий | # FFFF00 | (255 255,0) | (60 °, 100%, 100%) | |
| Блакитний | # 00FFFF | (0,255,255) | (180 °, 100%, 100%) | |
| Пурпуровий | # FF00FF | (255,055) | (300 °, 100%, 100%) | |
| Срібло | #BFBFBF | (191 191 191) | (0 °, 0%, 75%) | |
| Сірий | # 808080 | (128 128 128) | (0 °, 0%, 50%) | |
| Темно-бордова | # 800000 | (128,0,0) | (0 °, 100%, 50%) | |
| Оливкова | # 808000 | (128 128,0) | (60 °, 100%, 50%) | |
| Зелений | # 008000 | (0,128,0) | (120 °, 100%, 50%) | |
| Фіолетовий | # 800080 | (128,0128) | (300 °, 100%, 50%) | |
| Чирок | # 008080 | (0,128,128) | (180 °, 100%, 50%) | |
| ВМС | # 000080 | (0,0128) | (240 °, 100%, 50%) |
Advertising