Ingrese el código hexadecimal de 6 dígitos o ingrese los niveles de color rojo, verde y azul (0..255) y presione el botón Convertir :
Los valores R , G , B se dividen por 255 para cambiar el rango de 0..255 a 0..1:
R '= R / 255
G '= G / 255
B '= B / 255
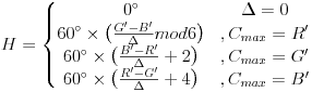
Cmax = max ( R ', G ', B ')
Cmin = min ( R ', G ', B ')
Δ = Cmax - Cmin
Cálculo de tono:

Cálculo de saturación:

Cálculo de valor:
V = Cmax
| Color | Color nombre |
Hex | (R, G, B) | (H, S, V) |
|---|---|---|---|---|
| Negro | # 000000 | (0,0,0) | (0 °, 0%, 0%) | |
| Blanco | #FFFFFF | (255,255,255) | (0 °, 0%, 100%) | |
| Rojo | # FF0000 | (255,0,0) | (0 °, 100%, 100%) | |
| Lima | # 00FF00 | (0,255,0) | (120 °, 100%, 100%) | |
| Azul | # 0000FF | (0,0,255) | (240 °, 100%, 100%) | |
| Amarillo | # FFFF00 | (255,255,0) | (60 °, 100%, 100%) | |
| Cian | # 00FFFF | (0,255,255) | (180 °, 100%, 100%) | |
| Magenta | # FF00FF | (255,0,255) | (300 °, 100%, 100%) | |
| Plata | #BFBFBF | (191,191,191) | (0 °, 0%, 75%) | |
| gris | # 808080 | (128,128,128) | (0 °, 0%, 50%) | |
| Granate | # 800000 | (128,0,0) | (0 °, 100%, 50%) | |
| Aceituna | # 808000 | (128,128,0) | (60 °, 100%, 50%) | |
| Verde | # 008000 | (0,128,0) | (120 °, 100%, 50%) | |
| Púrpura | # 800080 | (128,0,128) | (300 °, 100%, 50%) | |
| Verde azulado | # 008080 | (0,128,128) | (180 °, 100%, 50%) | |
| Armada | # 000080 | (0,0,128) | (240 °, 100%, 50%) |
Advertising